
An international research team has performed a new measurement of an important astrophysical reaction, 22Mg(α, p)25Al, providing essential experimental data for understanding the light curve of X-ray bursts and the astrophysical environment in low-mass X-ray binaries.
Some massive stars terminate their lives in so-called supernovae, which are extremely violent explosions that produce neutron stars. More often than not, supernovae are asymmetric, and the neutron stars that are produced are kicked with a velocity up to 550 km/s to meet with a lifelong companion star if they are lucky; otherwise they will be lone rangers in the cosmos.
Due to the enormous gravitational force of the neutron star, the main components of the stellar fuel of the companion star are siphoned to the neutron star, thus forming an envelope surrounding the neutron star’s atmosphere. The stellar fuel in the envelope is further compressed and then fused to form heavier chemical elements, like carbon, oxygen and nitrogen. Such fusions keep synthesizing more heavy elements until the accreted stellar fuel is exhausted.
Throughout the fusion process, energetic X-rays, thousands of times brighter than our Sun, are emitted from the extremely high-density envelope. Such energetic X-ray pulses are termed Type-I X-ray bursts. Also, the neutron star and companion star that give birth to these bursts are called X-ray bursters.
As of now, more than 7,000 X-ray bursts emitted from 115 X-ray bursters have been observed. However, none of these observed bursts can be closely reproduced by theoretical models. One of the underlying reasons is the vast uncertainty in important fusion reactions influencing the onset of X-ray bursts. One example is the alpha-proton reaction of magnesium-22, 22Mg+α→25Al+p, which has been renamed 22Mg(α,p)25Al by nuclear physicists.
Nevertheless, experimental data related to the 22Mg(α,p)25Al reaction are very scarce. Researchers at the Institute of Modern Physics (IMP) of the Chinese Academy of Sciences (CAS), in collaboration with Japanese, Australian, British, Italian, American and Korean scientists, have measured the important properties of the 22Mg(α,p)25Al reaction.
"Because of the extremely low cross sections, direct measurement is still a very tough task at present. We proposed to deduce the reaction rate via indirect measurement, which is the resonant scattering measurement of 25Al+p with the capability to select and measure proton resonances contributing to the reaction rate,” said HU Jun, a researcher at IMP.
The experiment was conducted at the Radioactive Ion Beam Factory operated by the RIKEN Nishina Center and the Center for Nuclear Study, University of Tokyo.
The researchers obtained the first 22Mg(α,p)25Al reaction rate in the Gamow window through experiments, thus tremendously reducing the uncertainty of this reaction corresponding to the extreme X-ray burst temperature regime, which is about 130 times the temperature of the core of the sun.
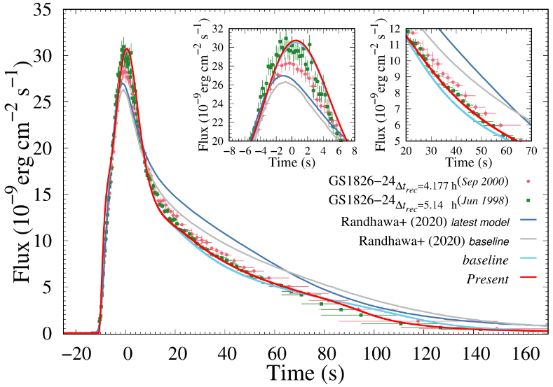
Using the new 22Mg(α,p)25Al reaction rate, they closely reproduced the burst light curve of GS 1826–24 X-ray burster recorded in the event of June 1998. Meanwhile, they discovered that the 22Mg(α,p)25Al reaction was strongly correlated with the percentage of helium in the high-density envelope and successfully reproduced the fluences and recurrence times of SAX J1808.4–3658 photospheric radius expansion burster recorded in the event of October 2002.
"Undoubtedly, a close reproduction of the observation helps researchers to convincingly interpret the hidden physics information encapsulated in the observed X-ray bursts," said LAM Yi Hua, a researcher at IMP.
A paper describing these findings was published in Physical Review Letters on October 19.
This work was supported by the Major State Basic Research Development Program of China, the Strategic Priority Research Program of CAS, the President's International Fellowship Initiative of CAS and the National Natural Science Foundation of China.
Fig. 1 Artistic representation of a neutron star accreting matter from its companion's envelope. (Image by Gabriel Pérez Díaz, Instituto de Astrofísica de Canarias)
Fig. 2 The best fit baseline and Present modeled light curves to the observed light curve of the event of June 1998, and the best fit Randhawa et al. (2020) modeled light curves to the event of September 2000. The magnified light curves at the burst peak and t=20–70s are shown in the left and right insets, respectively. (Image from Physical Review Letters)
86-10-68597521 (day)
86-10-68597289 (night)
52 Sanlihe Rd., Xicheng District,
Beijing, China (100864)