Newsroom
A new model and constraint on dark energy from quantum uncertainty was recently proposed by PhD student HUANG Long and his supervisors Prof. YANG Xiaofeng, Prof. LIU Xiang at the Xinjiang Astronomical Observatory (XAO) of the Chinese Academy of Sciences.
In this study, the researchers analyzed the origin of dark energy density and pressure, and explained the theoretical possibility that the dark energy density is derived from the massless scalar bosons in vacuum.
Previous studies found that the existence of dark energy and dark matter is the basis of current standard model of cosmology, the so called ΛCDM (cosmological constant cold dark matter) model, and Λ is the cosmological constant, representing dark energy without evolutionary effects. Although ΛCDM model is well acceptable to cosmological community, the origin of dark energy density and pressure is still mystery and there is a debate on time evolution of dark energy.
In this study, the researchers proposed new the special solution for theoretical possibility. Following this theoretical hypothesis, they derived the new equation of state of dark energy, which can show the evolution character of dark energy.
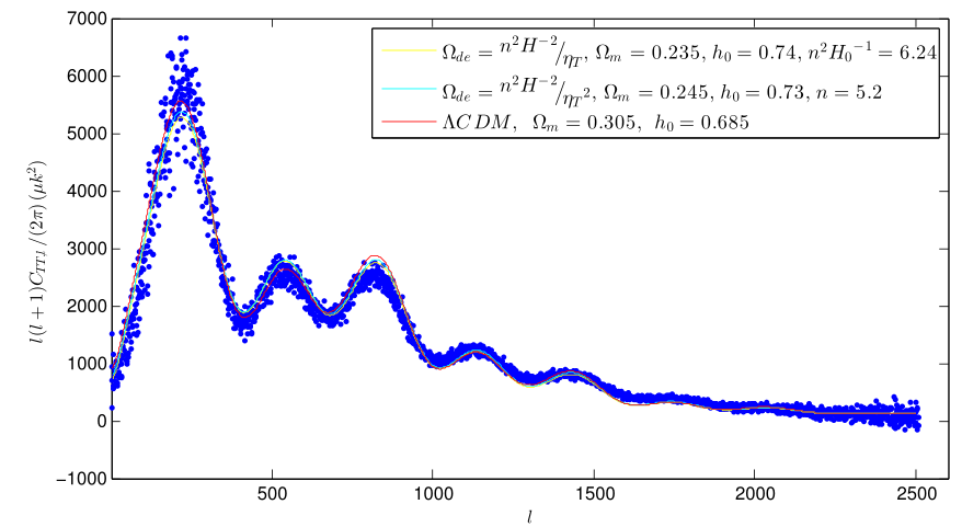
Numerical results confirm standard ΛCDM model by using of SNla Pantheon sample, which indicated dark energy has no time evolution. However, when they used Planck 2018 cosmic microwave background (CMB) data, they found their model is better than standard model.
At the same time, they gave the statistical mean values of Hubble constant H0=73.2±1.3km s-1Mpc-1, which represents current expansion rate of our universe.

Blue dots represent Planck 2018 CMB TT angular power spectra. The red, yell-ow, and cyan lines are the CMB theoretical values of angular power spectra from ΛCDM, Model I, and Model II, respectively. (Image by XAO)
HUANG Long; YANG Xiaofeng