
Liquid crystal phased devices (LCPDs), with the advantages of high spatial resolution, compact structure and low power, can realize precise control of the beam amplitude, wavefront, polarization and steering. They have wide applications in laser fusion, optoelectronic countermeasure and laser communication. However, the low laser power handing capabilities limit their potential applications in higher power laser fields.
Recently, the research team led by Prof. ZHAO Yuanan from Shanghai Institute of Optics and Fine Mechanics of the Chinese Academy of Sciences, demonstrated laser energy deposition, conduction and coupling process in LCPDs. These studies were published on Optical Materials Express and Infrared Physics & Technology.
Their research was based on investigating the laser damage characteristics of indium tin oxide (ITO) layer and polyimide (PI) layer. In the experiment, the ITO and PI layers were irradiated by high peak power laser and high average power laser respectively.
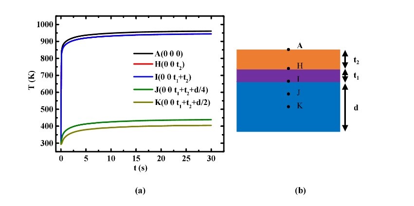
Under the irritation of high peak power laser, the temperature rose rapidly to more than a thousand degree at very short time because of the instant strong absorption in ITO layer, and resulted in vaporization of ITO layer consequently.
Following this, the vaporized ITO broke through the surface PI and developed the visible damage. Under the irritation of high average power laser, ITO layer absorbed laser energy, resulting in a slow temperature rise and a small temperature gradient.
The liquid crystal molecules failed at the beginning because the clearing point of the common liquid crystal was 50℃~100℃, which was lower than the temperature of induced damage of ITO layer and PI layer.
Serial experiments and simulations provide important guidance for the design, optimization as well as practical application of LCPDs in high power laser systems.
These works were supported by the National Natural Science Foundation of China, Open Research of Fund of State Key Laboratory of Applied Optics and Open Research of Fund of State Key Laboratory of Pulsed Laser Technology.

Fig.1 Typical damage morphologies of the PI/ITO films induced by high peak power laser (Image by SIOM)
Fig. 2 Temperature distribution of the irradiated center in the PI/ITO films induced by high peak power laser irradiation (Image by SIOM)
Fig. 3 Vertical temperature distribution of PI/ITO films in first 30 s under 3000 W/cm2 high average power laser irradiation (Image by SIOM)
86-10-68597521 (day)
86-10-68597289 (night)
52 Sanlihe Rd., Xicheng District,
Beijing, China (100864)