2024
According to a study published in Current Biology on May 22, the genetic components of the ancient populations in the western Tibetan Plateau are closest to ancient populations in the southern Tibetan Plateau, and their major genetic components have been maintained over the past 3,500 years. In addition, these ancient populations in the western Tibetan Plateau had complex and frequent interactions with ancient populations inside and outside the plateau.
The study was conducted by Prof. FU Qiaomei's team from the Institute of Vertebrate Paleontology and Paleoanthropology (IVPP) of the Chinese Academy of Sciences and archaeologists from the Tibet Institute for Conservation and Research of Cultural Relics and other institutions.
Ngari Prefecture, located in the western part of the Tibetan Plateau, is the junction connecting the Tibetan Plateau, South Asia and Central Asia, and a potential migration channel for early human populations. Previous research has confirmed that genetic components related to Central Asian populations affected this region about 2,300 years ago, but the genetic history of earlier populations in this region was unclear.
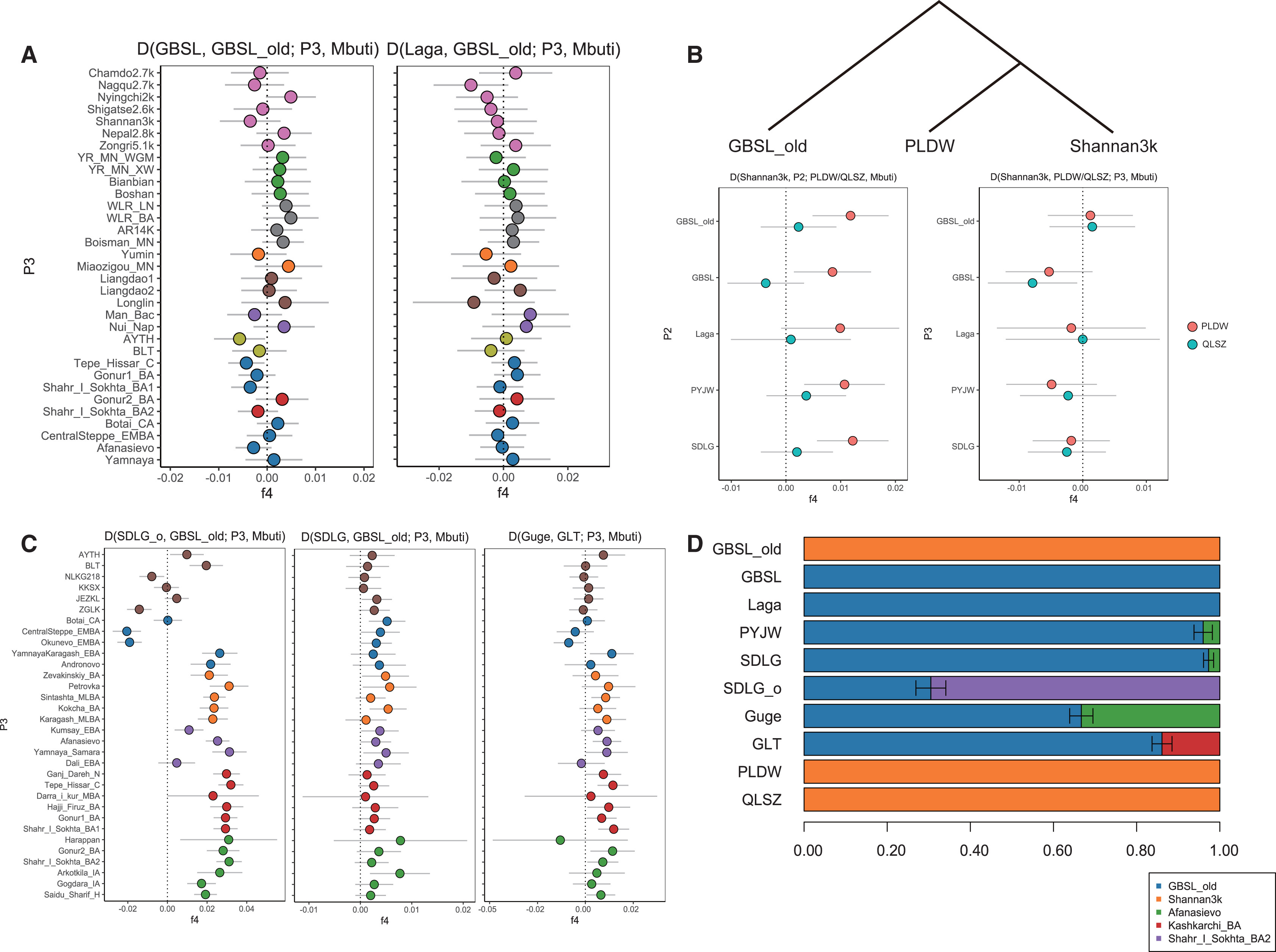
In this study, the researchers sequenced the genome-wide nuclear data of a total of 65 individuals from six sites dating from 3,500 to 300 years ago in Ngari Prefecture. The newly sequenced data cover six archaeological sites, including Gebusailu, Laga, Sangdalongguo, Pulanduowa, Qulongsazha, and Guge Ganshi Cave.
Combining the recently sequenced data with previously published ancient genomic data, the evolutionary history of the populations in the western Tibetan Plateau over the past 3,500 years has now been reconstructed.
This study is a systematic, long-term genomic study of ancient populations in the western Tibetan Plateau. It is of great significance for the in-depth understanding of the history of interactions between ancient western plateau populations and ancient populations within the plateau and in neighboring South Asia and Central Asia, according to the researchers.
Genetic characteristics of ancient western plateau populations and their interactions with ancient populations within the plateau
Previously, the understanding of the genetic history of the ancient populations of the western plateau was extremely limited. Based on only one site dating back 2,300 years ago, researchers had speculated that genetic influence occurred between western plateau populations and Central Asians. However, the specific time, place, and extent of this influence were unknown. In this study, the researchers reconstructed the population evolutionary history in the western plateau over thousands of years using genetic information from various ancient Tibetan populations.
They showed that the ancient Ngari populations of 3,500 years ago had genetic components similar to the populations of the southern plateau and did not carry additional genetic components from Central Asia or South Asia.
This genetic composition has been stably maintained in northwestern Ngari Prefecture for more than a thousand years: The genetic composition of the late Gebusailu and Laga populations of 2,300 years ago is almost the same as that of the Gebusailu population of 3,500 years ago. In other words, the Ngari population during this period mainly carried the genetic components of ancient populations in the southern plateau, while genetic components from Central Asia and South Asia were introduced much later.
After that, starting from 2,300 years ago, Central Asian components appeared in some sites in northwestern Ngari Prefecture, but until 150 years ago, the proportion of Central Asian components was still less than 15%. Overall, local Ngari genetic components remained dominant from 3,500 to 150 years ago.
The researchers also found complex population interactions and migrations within the plateau. The genetic components of ancient populations in the southern and western parts of the plateau 3,500 years ago were very similar, indicating that population migration and expansion from south to west may have occurred earlier.
In addition, compared with the population in northwestern Ngari, populations from 1,800 to 1,600 years ago from the Kongque River to the upper reaches of the Xiangquan River in southeast Ngari were further influenced by ancient populations from the southern plateau. This indicates that the southern plateau people may have begun to expand westward again before the Tubo Empire expanded westward in the early 7th century.
In summary, the interactions between the ancient populations of the southern and western plateau were far more complex than recorded in historical documents. As early as 1,800 years ago, multiple east-to-west human migrations between the two places had occurred, and a gradient of genetic components introduced by the expansions can be observed in these east-to-west populations.
Interactions between ancient populations in the western plateau and outside the plateau
Although Central Asian components began to affect some Ngari populations around 2,300 years ago, the proportion of Central Asian components in the genomes of these populations is low (<5%). On the one hand, these results provide genetic evidence for the cultural interactions between ancient populations on the plateau and ancient populations in neighboring Xinjiang, Central Asia, and South Asia. On the other hand, they also reflect that such cross-plateau cultural interactions were accompanied by limited population migrations or mixtures.
Beginning 2,000 years ago, genetic components related to South Asia also affected the Ngari Prefecture region. Interestingly, the South Asian-related genetic components that affected the ancient Ngari populations came from mixed populations that settled in Central Asia. These populations are genetically related to Central Asians but are culturally typical South Asians. Previous research suggested that they were immigrants from the Indus Valley Civilization who settled in Central Asia.
This is the first identification of South Asian-related genetic components in ancient populations on the Tibetan Plateau, providing clues to the interactions between ancient populations on the plateau and those related to the Indus Valley Civilization.
In the 9th century AD, with the decline of the Tubo regime, descendants of the Tubo royal family established the Guge Kingdom in what is now Ngari Prefecture. It was not until the 17th century AD that the Guge Kingdom collapsed. As the continuation of the Tubo lineage, the Guge population is an important window into the genetic characteristics of the last Tubo people. An ancient human sample collected by the researchers from the Guge Cave showed the influence of Central Asian populations, and the proportion of Central Asian components was as high as 31%. This admixture event is estimated to have occurred around 1,353 AD, coinciding with the prosperity of the Guge Kingdom. This new result shows that in addition to its historical connections with South Asian kingdoms, the Guge Kingdom also had population interactions with people from Central Asian kingdoms.
Kinship practices in early western plateau communities
The researchers also examined kinship among individuals from early western plateau sites. At the Gebusailu tomb dating back 2,300 years ago, a second-generation family structure consisting of a father and two sons was discovered. At the same time, individuals at this site and the 1,800-year-old Pulanduowa site were mainly male, and the diversity of Y-chromosome haplotypes is evidently lower than that of mitochondrial haplotypes, indicating that both may have been communities dominated by paternal inheritance.
The 1,600-year-old Qulongsazha tomb includes a family line in which the second- and third-generation descendants are related by maternal kinship, suggesting the role of maternal kinship in the family line. Combined with the sex ratio and paternal and maternal genetic diversity, this pattern reflects a relatively balanced paternal and maternal inheritance structure.
Nevertheless, this study is a preliminary exploration of the kinship practices at early plateau sites, and future research with more samples will shed more light on the details and diversity of the community structure of ancient Tibetans.
Due to the high altitude and harsh natural environment of the western Tibetan Plateau, anthropological and archaeological research in this region is relatively limited. In particular, large gaps exist in previous research on the evolutionary history of early ancient western Tibetan Plateau populations and their interaction with ancient populations in neighboring areas. Using a combination of genetics and archeology, the researchers thoroughly investigated the evolutionary history of ancient populations on the western plateau over the past 3,500 years. While the major genetic components of the ancient western plateau populations show continuity, those populations had complex and frequent interactions with the ancient populations in the adjacent southern plateau region, Central Asia, and South Asia off the plateau.
Since the Tibetan Plateau is a bridge between East, Central, and South Asia, the results of this study are important for understanding the genetics of ancient populations on the plateau and those populations’ interactions with ancient Central and South Asians.

The spatial and temporal distribution of Ngari samples involved in the study (Image by IVPP)

Analysis results of genetic characteristics of ancient populations in the Ngari Prefecture (Image by IVPP)