Research News
Study Reveals Inconsistent Effect of Ramet Connection in Homogeneous Environments
Editor: ZHANG Nannan | Dec 27, 2022
Print

Physiological or clonal integration is a key ecological benefit, where stolon or rhizome connections between ramets allow for translocation of resources from source- sites to sink- sites (in patchy or heterogeneous environments) within the clone. However, negative effects of ramet connection have also been found in previous studies.

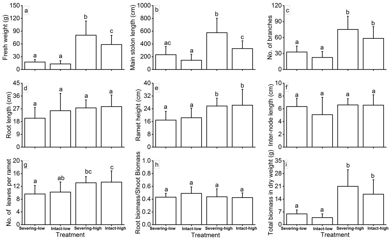
In order to figure out this controversial issue, researchers from the Wuhan Botanical Garden of the Chinese Academy of Sciences and University of Northern Colorado used Cynodon dactylon (Linn.) Pers. (Bermuda grass) as a model plant to determine whether ramet connection influences in homogeneous water availability (low/high), and whether the response could be attributed to the release of apical dominance or root competition.

Results showed that stolon connection had no significant effects on the biomass of C. dactylon, while it affected plant morphology (stolon length) under the homogeneous high water condition. The apical dominance release treatment increased biomass and number of branches of C. dactylon distal sections demonstrating the effects of ramet separation. However, for apical sections, biomass, main stolon length, number of branches and inter- node length were significantly reduced following separation, resulting in the significant decrease of main stolon and inter- node length at the whole clonal fragment level.

The root competition experiment detected no significant differences of clonal fragments' performance between treatments (stolon connection and root competition), indicating weak root competition in homogeneous environments for C. dactylon, at least in early stages.

In conclusion, this study reveals that high water availability (favorable growth condition) and loss of ramet connection (acting as disturbance) would improve plant performance (escape strategy) via release of apical dominance or root competition (shaping plant performance) at early stages.

Results have been published on Flora with the titled "Revisiting ramet connection under homogeneous water availability environments."

This study was financially supported by the Memphis Zoo and the National Natural Science Foundation of China.

 

The effect of stolon connection and water availability on the nine traits of C. dactylon. (Image by LU Zhijun)