Carbon Peaking & Carbon Neutrality: CAS in Action
Subalpine larch (Larix chinensis) is an endemic coniferous tree distributed above 3,100 m above sea level and forms treeline ecotone at the elevation of 3,450 m above sea level in the Qinling Mountains of north-central China. However, two prevailing but competing hypotheses (i.e., the carbon limitation hypothesis and the growth limitation hypothesis) based on carbon supply- demand balance cannot yet provide a broad explanation for the formation of alpine treeline.
In search for a functional explanation of altitudinal treeline formation, Dr. HE Rui, supervised by Prof. DANG Haishan from the Wuhan Botanical Garden of the Chinese Academy of Sciences used the method of combining allometric growth equation of L. chinensis with non-structural carbohydrates (NSC) concentrations to explore the spatial variability of end-season carbon allocation between storage and growth of larch trees along an elevational gradient in the Qinling Mountains and to probe into the physiological mechanism of treeline formation from carbon allocation.
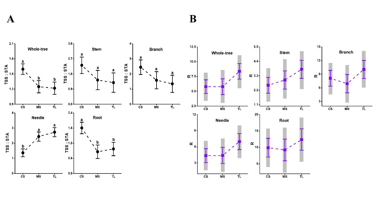
Results showed that the whole- tree NSC pool of L. chinensis increased significantly with the increasing elevation, while the structural growth was lower at the treeline site than at the lower and mid- elevations.
Moreover, on the whole- tree level, the ratio of carbon storage to structural growth was almost the same in the larch trees at the mid- and lower elevations. However, the carbon storage to growth ration was much higher in the treeline trees (i.e., 8.4), indicating that at least eight times of carbon allocation to storage over growth might be necessary for larch tree's persistence and survival at the treeline site.
The study highlights that a sufficient ratio of carbon storage to growth (> 8.4) and a balanced storage- growth relationship might be essential for the subalpine larch trees (Larix chinensis) to survive and develop at their low- temperature edge and might be necessary in functionally determining the subalpine larch treeline in the Qinling Mountains of north- central China.
It is also of implication for understanding treeline tree carbon allocation and survival strategy under low-temperature stress in the altitudinal treeline ecotone.
This work was published in Trees entitled "Variations in trade-off of carbon storage and growth in subalpine larch across an elevational gradient and it was supported by the National Natural Science Foundation of China, and the Biodiversity Survey and Assessment Project of the Ministry of Ecology and Environment of China.

Pools of NSC and its components (total soluble sugars: filled bars; starch: open bars) of Larix chinensis in different tissues along elevation and tissue to whole- tree proportion of mobile carbon storage along elevation. (Image by WBG)

Ratio of total soluble sugar (TSS) pool to starch (STA) pool and ratio of NSC storage to structural growth (R) of Larix chinensis in different tissues along elevation. (Image by WBG)