
New research findings on the gamma-ray burst (GRB) named GRB 221009A from the Large High Altitude Air Shower Observatory (LHAASO) were published online by the journal Science on June 8, 2023. The study, entitled "A tera-electronvolt afterglow from a narrow jet in an extremely bright GRB 221009A," was completed by the LHAASO international collaboration.
About two billion years ago, a massive star more than 20 times heavier than the Sun used up the fusion energy from its nuclear fuel, instantly collapsed, and triggered a massive explosion, thus unleashing a collimated burst of cosmic fireworks known as a gamma-ray burst (GRB) that lasted hundreds of seconds. The high-energy gamma-ray photons, generated from the collision between the fireball and interstellar matter, traveled through the vast universe and headed straight toward Earth. In the evening of October 9, 2022, at 13:20:50 UT, these photons reached the field of view of LHAASO, where over 60,000 gamma-ray photons were collected. After several months of analysis, scientists finally unveiled the details of this explosion event.
LHAASO precisely measures for the first time the entire light curve of high-energy photons from the afterglow of a GRB
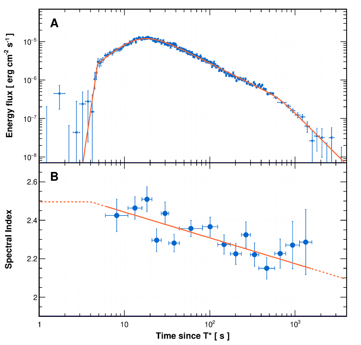
The flux of photons collected by LHAASO indicates that they came from the radiation following the main burst. The main burst, namely the prompt emission, is the initial massive explosion characterized by intense low-energy gamma-ray radiation. The following burst, known as the afterglow, is produced when the ejected matter collides with the surrounding interstellar gas at speeds very close to the speed of light. "LHAASO accurately measured the complete process of the afterglow for the first time, comprising the entire phase of tera-electronvolt gamma-ray flux from rise to decay," said CAO Zhen, principal investigator of the LHAASO project, spokesperson for the LHAASO collaboration, and professor at the Institute of High Energy Physics (IHEP) of the Chinese Academy of Sciences.
Based on the observation of tens of thousands of GRBs, scientists have developed seemingly perfect theoretical models and have strong confidence in them. LHAASO observed the complete high-energy light curve that other experiments have yet to reach, providing a perfect data base for precise tests of these theoretical models. Given the rarity of this event, which probably occurs only once a millennium, it is expected that this observed result will remain one of the best for the next several decades or even centuries.
LHAASO measures for the first time the rapid enhancement process of high-energy photon flux from a GRB
"At the beginning of onset of the afterglow, LHAASO detected for the first time the extremely rapid enhancement of photon flux," said YAO Zhiguo, a professor at IHEP and one of the corresponding authors of the paper. Within a time interval of less than two seconds, the flux increased by a factor of more than one hundred, followed by a slow rise that conforms to the expected characteristics of an afterglow. The early rapid enhancement phenomenon exceeds the expectations of previous theoretical models. This leads to a question: What mechanisms are actually at play. The published results would spark in-depth discussions within the scientific community regarding the mechanisms involved in GRBs, including energy injection, photon absorption, and particle acceleration.
LHAASO unveils the mystery of the brightness of the brightest-of-all-time GRB
LHAASO observations have shown that high-energy radiation decreases more rapidly in brightness around 10 minutes after the start of the afterglow. "This can be explained by the fact that the ejected material after the explosion forms a jet-like structure, and the rapid decrease in brightness occurs when the radiation angle extends to the edge of the jet," said WANG Xiangyu, a professor at Nanjing University and one of the corresponding authors of the paper. Due to the extremely early occurrence of this brightness transition, the measured angle of the jet is inferred to be extremely small, only 0.8 degrees. This is the smallest known jet angle to date, indicating that what was observed is actually the brightest core of a typical internally bright and externally dark jet. "The observer happens to be directly facing the brightest core of the jet, and it naturally explains why this gamma-ray burst is the brightest in history and why such an event is so rare," said DAI Zigao, a professor at the University of Science and Technology of China of CAS and one of the corresponding authors of the paper.
LHAASO's data-intensive observations at high-energy will reveal more mysteries
Within the short duration of this event, the number of photons LHAASO recorded exceeded the cumulative number of photons observed from the "standard candle" Crab Nebula over the past few years. "If the selection criteria were slightly relaxed, the photon count could even reach 100,000!" said ZHA Min, a professor at IHEP and one of the corresponding authors of the paper. As a comparison, other instruments in the similar energy band had detected less than 1000 photons in other GRBs so far, and they are only able to detect photons tens of seconds after the burst." As of now, there are still many unknowns in this burst event, and LHAASO scientists are still analyzing the data, in order to reveal more secrets. Please stay tuned for the subsequent analysis results from LHAASO," said Prof. CAO, expressing optimistic expectations for further achievements from LHAASO.
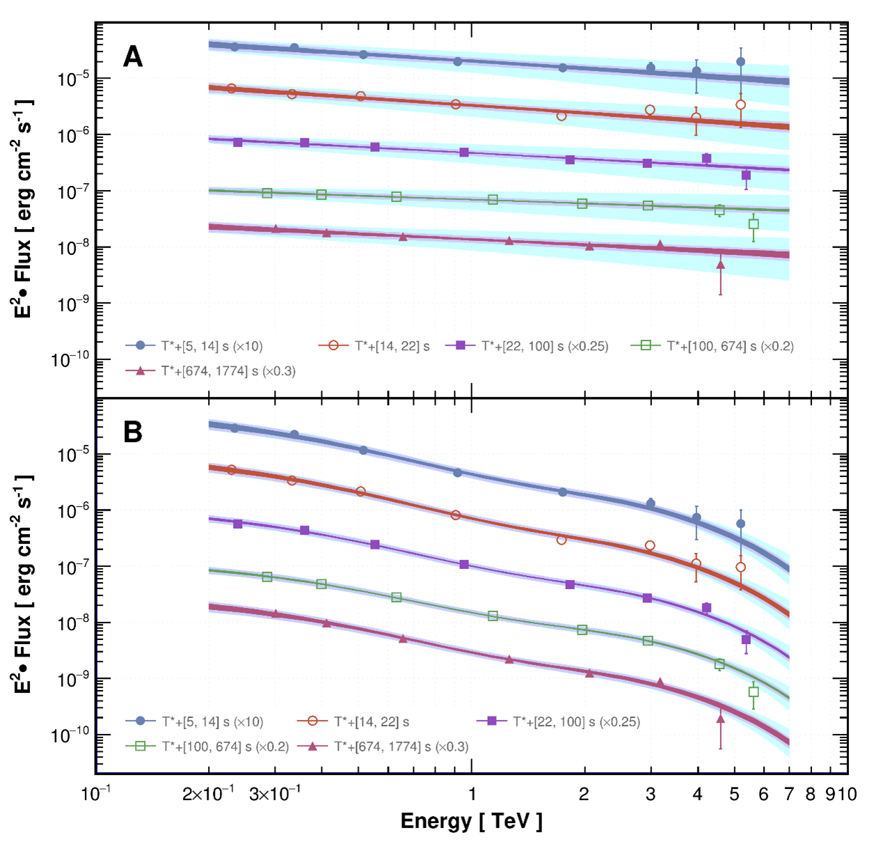
Figure 2: Intrinsic and observed spectra of photons measured by LHAASO at five time- intervals. The energy range is around 0.2-7 TeV. (Image by IHEP)
Figure 3: Energy flux light curve and spectral index evolution of the afterglow radiation from GRB 221009A, in the energy range of 0.3-5 TeV, along with the fitting function. LHAASO achieved the first complete observation of the afterglow of a GRB above 100 GeV, revealing the rapid rising phenomenon of the afterglow for the first time and discovering the rapid decay phenomenon in the afterglow of GRB221009A. (Image by IHEP)
Background information: GRB
GRBs are the most intense astronomical explosion phenomena in the universe since the Big Bang. They refer to the sudden increase in gamma-ray emission from a particular direction in the sky. GRBs can last as short as a fraction of a second or as long as several hours. Short-duration GRBs are produced by the merger of two nearby compact celestial objects such as black holes or neutron stars, while long-duration GRBs are caused by the collapse and explosion of massive stars (supernovae) when their fuel is exhausted.
On October 9, 2022, at 13:16:59.59 UT, the Fermi spacecraft first detected an exceptionally bright GRB, which was assigned the name GRB221009A according to international convention. Subsequently, dozens of space- and ground-based detectors observed this burst. This GRB is a long-duration event, with its brightness surpassing that of previous GRBs by several tens of times. The extremely high photon flux saturated the detectors of multiple international experiments. China's LHAASO, the High-Energy Burst Explorer (HEBS) satellite, and the Insight-HXMT satellite simultaneously detected this GRB, achieving wide-ranging observations spanning 11 orders of magnitude in energy. The preprint of the satellite observations was published on March 28, 2023. Subsequent joint data analysis based on both space- and ground-based observations has been extensively carried out, and more research findings will be published successively.
Background information: LHAASO
LHAASO, one of China's major national scientific and technological facilities, aims to conduct cosmic ray observation and research. It is located on Haizi Mountain, Daocheng County, Sichuan Province. It has an average altitude of 4,410 meters and covers approximately 1.36 square kilometers. LHAASO consists of three kinds of arrays: the Kilometer Square Array (KM2A), which is a ground-based particle detector array covering one square kilometer and composed of 5,216 electromagnetic particle detectors and 1,188 muon detectors; the Water Cherenkov Detector Array (WCDA), which covers 78,000 square meters and comprises of 3,120 detection cells; and the Wide Field-of-view Cherenkov Telescope Array (WFCTA), consisting of 18 telescopes. LHAASO enables wide-band and compound measurements of gamma rays and cosmic rays from high-energy celestial sources, facilitating research in astrophysics and related fields.
The current results are primarily provided by the WCDA. The WCDA utilizes 360,000 tons of purified water as a medium and employs 6,240 photomultiplier tubes placed underwater. It measures the secondary products of gamma rays or cosmic rays produced in the atmosphere, by collecting Cherenkov light signals generated by these secondary particles in water. The energy range of gamma-ray observations spans two orders of magnitude, from around 100 GeV to more than 10 TeV. With its wide field of view and high duty cycle capability, the WCDA has prominent advantages in capturing transient celestial phenomena like GRBs.
The LHAASO project is jointly funded by China's National Development and Reform Commission and the Government of Sichuan Province. The construction phase lasted for four years, commencing in July 2017. Facility construction was completed, and instruments became fully operational in July 2021.
Currently, 32 domestic and international universities and research institutes have become member institutions of the international collaboration of LHAASO, which includes approximately 280 collaborating scientists.
Reviews from Peter Meszaros, professor at Pennsylvania State University
Thanks to LHAASO's very large observing area and advanced detector technology, this is the first time that the synchrotron-self-Compton component of the external shock early afterglow light curve has been detected at TeV energies. This, furthermore, shows a deceleration feature providing a measurement of the bulk Lorentz factor of about 440. It also shows a light curve break, interpreted as a jet opening angle of about 0.8 degrees, which reduces the total energy of the jet to about 10^51 ergs, consistent with other GRBs.
Reviews from GAO He, professor of Department of Astronomy, Beijing Normal University
GRBs are the most violent explosive phenomena in the universe, with energy emitted within a few seconds equivalent to the total energy radiated by the Sun over 10 billion years. After half a century of research, scientists have realized that GRBs originate from very extreme physical environments, such as high magnetic fields, strong gravity, and ultra-fast speeds. As such, GRBs have become extreme physics laboratories favored in the field of astrophysics and even fundamental physics. People expect to use GRBs to study the cosmic evolutionary history, the origin of heavy elements, and the validity of relativity, as well as other significant questions. However, a profound understanding of the physical origins of GRBs themselves is a prerequisite for addressing these issues.
Up to now, tens of thousands of GRBs have been detected by human, and almost every breakthrough in understanding GRBs has been driven by observations of exceptional events. On October 9, 2022, the brightest GRB ever recorded (later named GRB221009A) was detected, and scientists estimated that such a bright GRB passing through the Earth occurs once in thousands of years. Human was incredibly fortunate this time because GRB221009A happened to fall within the optimal field of view of LHAASO. Living up to expectations, LHAASO provided the complete light curve and energy spectrum of a GRB at TeV energies for the first time, significantly promoting our understanding of GRB radiation mechanisms and jet structures.
Comments from anonymous reviewers invited by the journal
1. LHAASO Collaboration presents a very important, breakthrough observation of the earliest GRB afterglow in the TeV energy range.
2. This is an extraordinary experimental result that deserves to be published rapidly and is perfectly suited to the journal - it is likely to become one of the best cited papers in the field. I congratulate the collaboration on this result - that provides a completely new perspective on GRBs from this "once in a lifetime" event.
3. LHAASO observations of GRB 221009A caught for the first time the rising phase of the afterglow radiation … I'd like to congratulate the LHAASO Collaboration for the outstanding result.